人生倒计时
- 今日已经过去小时
- 这周已经过去天
- 本月已经过去天
- 今年已经过去个月
作者 | 维克多
编辑 | 岑峰
真·神仙打架!
近日,一篇Arxiv论文在物理圈引起了不小的轰动。
有多轰动呢?知乎上有人说,老板正在开着组会都没心思了。
“这个文献”的名字叫Comment on Nature 586,373(2020)by E. Sinder et al,名字简单粗暴。很明显,这是对一篇2020年的Nature旧论文有“不同看法”的文章。
Nature 586,373(2020)是什么样的一篇论文,为什么对这篇论文的质疑会引起业内的轰动?
这篇论文正是被作为2020年10月15日《Nature》的封面故事推荐,推荐的标题叫“Turning up the heat”,这是一句双关语,一个意思是“调高温度”,另一个意思是“施加压力”。
“施加压力”是原因,“调高温度”是后果。加在一起就是副标题的意思——“室温超导终于实现了!”
美国罗切斯特大学物理系助理教授Ranga Dias的研究团队,创造出了一种碳质硫氢化合物固体分子,这种材料在约15摄氏度(288K)和约267Gpa的压强下表现出超导性。
虽然还没有达到业内追求的300K(27摄氏度)的室温超导目标,但15摄氏度对超导研究的意义在于不仅极大的提高了SOTA的门槛,还其他研究者看到了胜利的曙光。
(做个不恰当的类比:2012年AlexNet并没有真正超越人类,但在将性能提升了十多个百分点的同时,还掀起了一波深度学习的研究浪潮。)
这还不是Ranga Dias最出名的研究。从Google Scholar看,他最出名的研究是发表于2017年的“金属氢”(metallic Hydrogen)。
氢,它在常温是气体,在低温下变为液体,温度降到零下259℃时即为固体。“金属氢”的提法源于1925年英国物理学家John Bernal“任何元素加压都会具有金属导电特质”的猜想,并在1935年被美国物理学家Eugene Winger(1963年诺贝尔物理学奖得主)理论证明。
多年以来科学家们一直在努力尝试再造这种状态的氢,但均未能成功。
直到2017年1月26日, 《科学》杂志报道哈佛大学实验室成功制造出金属氢。金属氢论文的通讯作者,正是这位Ranga Dias。
向Ranga Dias发起挑战的Jorge E Hirsch也绝非泛泛之辈,他是UCSD物理系教授,被引用3万5千次,H-index 67的大牛。他被引用数最高的文章是2005年提出的“一种衡量个人科学研究成果的指标”。
对了,这项指标以他的名字命名——“H-Index”。
在Arxiv发表的新文章中,Hirsch质疑Dias在Nature 杂志发表的室温超导文章涉嫌数据操纵。
两大神仙的碰撞、对轰动业界研究成果的挑战,结果究竟如何?
1
质疑点在哪?
Ranga Dias在《Nature》论文中设计出了一种新型氢化物,这种由氢-硫-碳组成的材料,在巨大的压力下,室温时就能转变成超导体。
当时论文一经发表,学界惊呼(主要是凝聚态物质理论):人类首次真正发现室温超导!
支撑文章观点的主要论点是:在175万个大气压下,样品冷却至-93°C就会发生超导转变。如果继续增加压力,超导转变的临界温度会不断提高。
当到达到267万个大气压时,只需把样品降低至15°C,就能看到电阻消失。
嗯,换句话说,Dias在在常温条件下发现了“零电阻和完全抗磁性”,这一超导现象的特征。
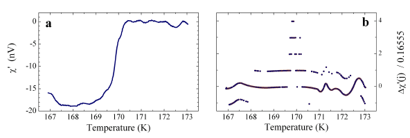
相对于原文的“长篇大幅”,Hirsch的质疑文章只有两页,主要攻击室温超导文章中磁化率数据的问题。
Ranga Dias的《Nature》论文说,在T=170K左右,磁化率发生突变,随着温度上升而陡然升高,这显然是超导相变。
Hirsch看到论文中某些区域的数据非常不连续,而且曲线斜率和变化方向相反。实验有误差很正常,但有规律的误差就不正常了。
于是, Hirsch把数据进行了差分,相当于去除了数据“杂质”,然后得到了一条平滑、可导的曲线。
结果显示:T=170K处的数据并没有发生剧变,并不存在超导特征。
此外,论文中有些数据看起来和2009年发表在《Physical Review Letters 》工作中使用的数据极其“相似”。而当年那些数据作者已经承认已经有问题。
因此,Hirsch得出结论:How these data have come about is unknown to us。言外之意:你操纵数据了。
目前,网友对于此问题分为三个阵营,其一认为“可以理解”:有时候有实验误差的数据确实和被操纵了一样。
其二认为Hirsch实锤:原文章并没有如实处理原始数据,而是做了一些不可思议的变换。
其三认为Hirsch的锤是锤了,但只锤了一点点:原数据可能是信号变太快了没锁住导致的。
无论哪方阵营,都需要 Dias出来正面回应,不过目前看来辩方选手有点落了下风。
2
神仙斗法,都有什么法宝?
能够在接近室温的条件下实现超导性,这无疑是一项振奋人心的突破性发现。
但据《Science》的报道,但当其他科学家试图复制这一发现,或者试图在其基础上进行拓展研究时,他们都失败了。
之前,Hirsch提出查看基本数据的要求也被一直拒绝。
有意思的是,论文的原始数据表格,居然是PDF里的一个截图......
知乎也有答主指出,Dias对数据遮遮掩掩的做法在生化环材领域很正常,“基操勿6”。
这也为Hirsch的“打假”制造了障碍。
但Dias回应Hirsch的指控表达颇有意味:Hirsch不是高压物理学家,他的指控带有偏见。
事实上,Hirsch在量子多体研究方面有很大的贡献,他完善了费米子行列式的蒙特卡洛 (determinant quantum Monte Carlo, DQMC) 算法。且这几年一直不屑于凝聚态物理学当下那些一地鸡毛般的杂碎问题,一直在攻击攻击各种高压超导实验和BCS理论。
例如这篇标题为“皇帝的新衣”Arixiv文章,直指BCS 超导理论中有“漏洞”,大量学者在该领域灌水,拿基金。
对于Hirsch质疑这篇《Nature》论文抛出的观点,《Nature》说:“编辑已收到与本文背后数据相关的未声明访问限制的警告。我们正在与作者合作更正数据可用性声明 ”
声明发表于2021年8月份,目前尚无更新。而Hirsch这篇Arxiv论文提交于2022年的1月19日。
旧事重提,想必是催促多方尽快给出答复吧:该公布数据的公布数据,该撤稿的撤稿。
值得一提的是,Dias确实有点前科。2017 年,Dias在哈佛当博士后时参与了导师 Isaac Silvera 的金属氢实验,发布了震惊世界的首块金属氢。
当年多方要求想看看金属氢长什么样子的时候,研究团队却说,由于操作失误,金属氢样本“消失”了。
时隔多年,至今无法见到金属氢的样貌。
不过,一码归一码,事情还没到最后一步,室温超导究竟啥样,还是让子弹飞一会儿。
3
室温超导体,凝聚态物理研究的梦想
超导材料具有零电阻和完全抗磁性,在传统电磁学领域和现代量子器件方面都有巨大的应用价值。
自1911年发现第一个超导体以来, 人们探索超导材料的脚步就从未停止过。
诸如金属合金、轻元素化合物、重费米子、有机化合物、铜氧化物、铁砷化物、铁硒化物等各类超 导体系不断被发现, 超导临界温度的记录也一再被刷新。
如何获得更高临界温度的超导体?学界常用方法是使用“高压”,即加大压力。
高压下, 原材料之间互相接触紧密, 化学反应速度要远远大于常压情况, 能提高材料合成效率, 有希望制备常压下不稳定的新材料。
室温超导之路可以追溯到20 世纪60 年代的一个预言,即氢原子团如果被充分压缩,可能会转变成一种在高温下超导的金属。
图注:各种超导材料发现的年代和临界温度记录, 插图为典型的超导体结构,图片来自《中国科学》
2004年,物理学家 Ashcroft进一步指出富氢的材料体系可能在较低的外加压力下实现高温超导。
2014年,吉林大学的马琰铭和崔田两个团队基于对BSC理论的计算,也论证了富氢的材料体系实现超导的可能性。
2015年,德国马普化学研究所的Eremets研究组,首次实验发现高压条件下,硫化氢材料T=203K发生超导转变。
2019年美国华盛顿大学Hemley研究组也有相关论文产出。
而Dias小组的工作就是在Eremets硫化氢材料基础上额外添加了碳元素实现的。
但正如中科院谢心澄和北大王楠林两位教授在《中国科学基金》上点评的那样:目前所形成的室温超导体结构尚不清楚,实验结果也还需要其他研究组的重复和验证。
换句话说,将Dias室温超导的工作提升至“人类首次”还为时尚早。毕竟在高温超导35 年的发展历程中只诞生了一个。
如果提及原始创新,把范围扩展到整个超导领域110 年的历史,也只有1911年发现超导、1957年提出BCS理论、1962年发现约瑟夫森效应、1986 年发现高温超导等寥寥数次。
参考链接:
谢心澄,王楠林.首个室温超导体面世[J].中国科学基金,2021,35(02):233-234.DOI:10.16262/j.cnki.1000-8217.2021.02.016.
顾超.科学史视域下的原始创新:以高温超导研究为例[J/OL].科学学研究:1-17[2022-01-25].DOI:10.16192/j.cnki.1003-2053.20210810.002.
罗会仟.高压室温超导电性的新进展[J].中国科学:物理学 力学 天文学,2021,51(11):130-133.
https://www.163.com/dy/article/G7PSEGR90516DOTJ.html
https://www.zhihu.com/question/512731387/answer/2320382528
相关阅读
2021年量子计算的研发现状与未来展望
2022-01-19
一言不合又拉黑!美国精准打击量子计算半导体,国科微、国盾量子等12家中国企业躺枪
2021-11-25
2021戈登贝尔奖揭晓!中国超算应用一举夺冠,打破谷歌所谓“量子霸权”!
2021-11-19
雷峰网雷峰网





